產品詳情
-
產品描述:豬繆勒管抑制物質/抗繆勒管激素(AMH)酶聯免疫試劑盒(CSB-E13408p)為競爭法ELISA試劑盒,定量檢測血清、血漿、組織勻漿樣本中的AMH含量??箍娎展芗に兀ˋMH)是轉化生長因子β超家族成員。在女性卵泡生長發育中起重要調控作用,可反映卵巢儲備功能。研究機制上,其參與調節卵泡募集和生長,且水平與竇前卵泡和小竇卵泡數量相關,是評估卵巢功能的關鍵指標。試劑盒檢測范圍為1.25 ng/mL-50 ng/mL,適用于動物生殖生理研究、繁殖效率評估、卵巢功能分析等科研領域,特別為豬科動物生殖內分泌研究提供可靠工具本品僅用于科研,不用于臨床診斷,產品具體參數及操作步驟詳見產品說明書。
-
別名:AMH ELISA Kit; Muellerian-inhibiting factor ELISA Kit; Anti-Muellerian hormone ELISA Kit; AMH ELISA Kit; Muellerian-inhibiting substance ELISA Kit; MIS ELISA Kit
-
縮寫:
-
Uniprot No.:
-
種屬:Sus scrofa (Pig)
-
樣本類型:serum, plasma, tissue homogenates
-
檢測范圍:1.25 ng/mL-50 ng/mL
-
靈敏度:1.25 ng/mL
-
反應時間:1-5h
-
樣本體積:50-100ul
-
檢測波長:450 nm
-
研究領域:Signal Transduction
-
測定原理:quantitative
-
測定方法:Competitive
-
精密度:
Intra-assay Precision (Precision within an assay): CV%<15% Three samples of known concentration were tested twenty times on one plate to assess. Inter-assay Precision (Precision between assays): CV%<15% Three samples of known concentration were tested in twenty assays to assess. -
線性度:
To assess the linearity of the assay, samples were spiked with high concentrations of pig AMH in various matrices and diluted with the Sample Diluent to produce samples with values within the dynamic range of the assay. Sample Serum(n=4) 1:1 Average % 96 Range % 89-102 1:2 Average % 93 Range % 90-103 1:4 Average % 90 Range % 85-100 1:8 Average % 93 Range % 83-107 -
回收率:
The recovery of pig AMH spiked to levels throughout the range of the assay in various matrices was evaluated. Samples were diluted prior to assay as directed in the Sample Preparation section. Sample Type Average % Recovery Range Serum (n=5) 94 90-103 EDTA plasma (n=4) 97 88-107 -
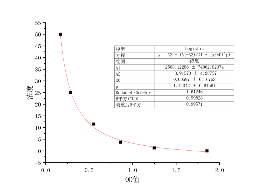
標準曲線:
These standard curves are provided for demonstration only. A standard curve should be generated for each set of samples assayed.
ng/ml OD1 OD2 Average 50 0.134 0.139 0.137 25 0.227 0.238 0.233 11.5 0.330 0.343 0.337 3.75 0.611 0.592 0.602 1.25 1.264 1.214 1.239 0 2.686 2.635 2.661 -
數據處理:
-
貨期:3-5 working days
引用文獻
- Early indicators of a gill's reproductive potential LM Staveley,International journal of STD & AIDS,2024
相關產品
靶點詳情
-
功能:This glycoprotein, produced by the Sertoli cells of the testis, causes regression of the Muellerian duct. It is also able to inhibit the growth of tumors derived from tissues of Muellerian duct origin.
-
亞細胞定位:Secreted.
-
蛋白家族:TGF-beta family
-
數據庫鏈接:
UniGene: Ssc.97577
Most popular with customers
-
Human Transforming Growth factor β1,TGF-β1 ELISA kit
Detect Range: 23.5 pg/ml-1500 pg/ml
Sensitivity: 5.8 pg/ml
-
-
-
Mouse Tumor necrosis factor α,TNF-α ELISA Kit
Detect Range: 7.8 pg/ml-500 pg/ml
Sensitivity: 1.95 pg/ml
-
-
-
-















